Flora melífera
La flora melífera (FM) es el conjunto de especies vegetales que producen sustancias o elementos que las abejas recolectan para su alimentación (polen, néctar, resinas y miel). La producción anual de miel depende de la estacionalidad y fenología de la FM, por lo que su obtención se divide en tres épocas, la cosecha que representa el 32% de la producción anual (marzo y abril) y la precosecha (octubre a diciembre) que genera el 40% de la producción en la península de Yucatán (PY). Por tal razón, es necesario la conservación e incorporación de FM cercana a los apiarios para la producción de miel, el mantenimiento del equilibrio de los ecosistemas y los servicios que brindan las abejas a través de la polinización de muchas plantas silvestres y cultivos.
LÍNEA DE INVESTIGACIÓN | FLORA MELÍFERA: OBJETIVOS
- Revisar e integrar el conocimiento de la flora melífera (FM) en la península de Yucatán (PY), para determinar el número de especies preferentes por Apis mellifera.
- Identificar la flora los alrededores de los apiarios en diferentes localidades de la PY para determinar la diversidad de especies presentes con potencial melífero durante la temporada de nortes, secas y lluvias.
- Establecer calendarios florales de FM a diferentes escalas (local, municipal, estatal, regional) para determinar la disponibilidad de especies durante el ciclo apícola y así, abastezcan a las colonias y proporcionen una mejoría al manejo del ambiente y del alrededor de los apiarios.
- Determinar los patrones de distribución de la FM para conocer las áreas de mayor diversidad en función del tipo de vegetación presente en la PY.
- Determinar la composición de la flora en los alrededores de los apiarios en cuanto a su origen de distribución y hábitos de crecimiento para entender los patrones de distribución y conocer la estructura de la vegetación.
Estudios recientes sobre flora melífera:

La península de Yucatán (PY) registra un total de 935 taxones de FM (98 familias y 498 géneros); de estos, Campeche tiene 812 especies, seguido de Quintana Roo con 786 especies y Yucatán con 767 especies. La FM está compuesto por hierbas (282 especies), seguidas de arbustos (260), árboles (229), trepadoras (82), trepadoras leñosas (67), palmas (14) y plantas parásitas (1).
Lista de especies de la flora melífera de la península de Yucatán, México


Sin embargo, un total de 24 especies de flora melífera desempeñan un papel importante en la apicultura de la PY. Entre estas especies se encuentra G. floribundum “ts’iitsilche”, considerada la principal fuente de producción de néctar para las abejas en la porción central y norte de la región. La miel producida con G. floribundum es valorada por los apicultores, ya que es solicitada en los mercados europeos por su calidad y sabor.



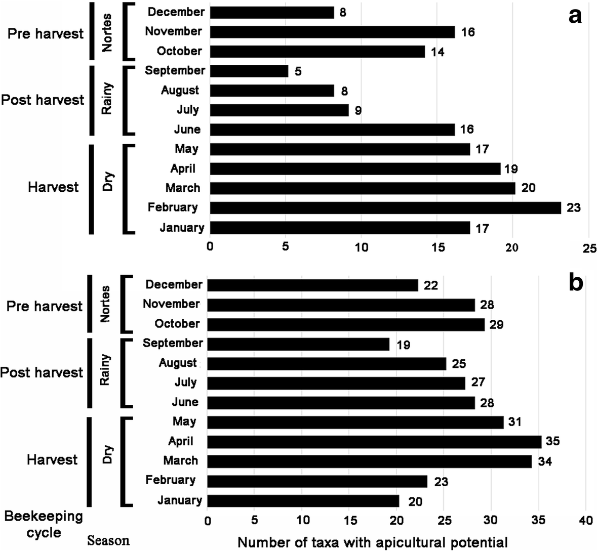
La información de FM con especies comunes útiles para la apicultura está disponible en estudios regionales citados previamente; sin embargo, hay escasez de investigación sobre FM a nivel de municipios, comunidades o localidades relacionadas con información sobre estaciones anuales o el ciclo apícola en la PY. Por ejemplo, el ciclo apícola de la PY tiene relaciones únicas con la estación seca y lluviosa (cantidad de precipitación), que a su vez influyen en los períodos de floración de las especies que proporcionan néctar y/o polen para alimentar a las abejas y facilitar el sustento de sus colonias. El ciclo apícola se divide en tres etapas: cosecha (enero a mayo), poscosecha (junio a septiembre) y precosecha (octubre a diciembre). La etapa de cosecha ocurre en el período más seco del año, cuando florece la mayor diversidad de plantas melíferas y se registra la mayor producción de miel. La etapa posterior a la cosecha corresponde a la temporada de lluvias, y la miel producida durante esta temporada tiene un alto grado de humedad que afecta su calidad y, por consiguiente, su precio. Además, la temporada de lluvias marca la grave escasez de plantas con flores para las que las abejas recolectan néctar debido a la menor disponibilidad de flores de especies melíferas, lo que repercute en la producción de miel en la región.


De acuerdo al conocimiento de los apicultores de Xmaben, se puede indicar que la mayor diversidad de especies de FM florece en la estación seca (enero a junio) y al comienzo de la estación lluviosa, cuando se cosecha la miel. Posteriormente, en la estación lluviosa (julio a septiembre) hay una disminución en la floración, cuando se produce miel húmeda que es considerada de menor calidad y bajo precio. Esta miel de baja calidad se debe a que el clima húmedo favorece la fermentación de la miel, reduciendo el tiempo de almacenamiento y alterando las propiedades organolépticas de la miel producida.
Al comparar el número de especies que florecen en cada estación del año entre las observaciones de los apicultores locales y los registros botánicos de campo y herbario a nivel regional, se observa un patrón similar en los patrones de floración descritos. La mayor diversidad de especies florece en la estación seca, luego disminuye durante la estación lluviosa y vuelve a aumentar en la estación de nortes. Este patrón previo del número de especies que florecen en cada estación se repite en varios estudios analizados para la región, y se asocia con el ciclo apícola para la producción local de miel.

La apicultura no solo genera oportunidades económicas para las comunidades locales, sino que también contribuye a los objetivos de conservación al fomentar la biodiversidad y la restauración de los ecosistemas. Estos hallazgos resaltan el potencial de la apicultura en manglares como un modelo replicable para el desarrollo sostenible en otras regiones costeras del mundo con ecosistemas similares. Además, esta investigación busca subsanar importantes lagunas de conocimiento sobre Apis mellifera en los ecosistemas de manglares, abordando los factores socioecológicos que influyen en la producción de miel, evaluando sus beneficios para las comunidades locales y explorando su papel dentro de estrategias de conservación más amplias.


Nuestra hipótesis filogenética a partir de las especies identificadas por los apicultores como recursos para las abejas, así como las previamente reportadas en la literatura. El árbol resultante tuvo 101 terminales, 196 nodos, de los cuales solo 17 presentaron floración continua o casi continua (durante todo el año o 11 meses). Por otro lado, 19 especies, sin contar las anteriores, tuvieron floración durante la estación de nortes y 11 especies, sin considerar las anteriores, tuvieron floración durante la estación lluviosa. Estas dos últimas estaciones o ciclos apibotánicos se consideran períodos críticos para los recursos forrajeros de A. mellifera, según las fechas mencionadas por los apicultores y la literatura. Esto es particularmente significativo ya que estos ciclos coinciden con una disponibilidad floral reducida en el ecosistema, lo que potencialmente influye en la fuerza de la colonia, el rendimiento de la miel y la sostenibilidad de las prácticas apícolas. Asimismo, los datos indican la evolución independiente del hábitat o estado del manglar, así como la superposición entre las floraciones de todas estas especies.

Especies seleccionadas mediante calendario filogenético por su potencial para el cultivo en apiarios o para proyectos de propagación y conservación en ecosistemas de manglares
